Effects of guided imagery on patients in hemodialysis: study protocol
DOI:
https://doi.org/10.33393/gcnd.2026.3596Keywords:
Anxiety, Depression, Guided imagery, Quality of life, SleepAbstract
Introduction: Patients undergoing hemodialysis can show anxiety, depression, poor sleep and a reduction in the
quality of life. Non-pharmacological interventions could be used to combine with conventional treatments to
improve these outcomes. Guided imagery is a mind-body technique that uses mental images to promote relaxation
and well-being. This is the first international research protocol that studies the effects of guided imagery in
hemodialysis patients on various subjective and objective outcomes.
Methods: The aim is to evaluate the impact of guided imagery on the level of anxiety, depression, sleep, quality
of life, systolic blood pressure, diastolic blood pressure, heart rate and respiratory rate. The study design is
a randomized controlled trial, prospective, with two parallel groups (guided imagery vs standard care), with 1:1
balanced allocation, pre-posttest, in a calculated sample of 30 patients diagnosed with chronic kidney disease
(CKD) undergoing hemodialysis. The intervention requires that each patient be treated with guided imagery for
30 minutes, three times a week, for 4 weeks. Expected results. The research hypotheses on the results are that
the guided imagery, compared to the control group, reduces anxiety levels, reduces depression levels, improves
sleep, improves quality of life, improves systolic blood pressure, improves diastolic blood pressure, improves
heart rate and improves respiratory rate.
Conclusion: If the effects show a statistically significant efficacy, guided imagery could be used during the daily
care of hemodialysis patients.
Introduction
Chronic kidney disease (CKD) causes progressive, irreversible loss of renal function (1) and is frequently identified only in advanced stages (2). Patients with CKD often require hemodialysis using artificial kidney technology to survive (3). Individuals receiving hemodialysis experience substantial physical and psychological distress (4) and are 1.5-3 times more likely to be hospitalized than those with other chronic conditions (5).People undergoing hemodialysis face marked deterioration in quality of life, including restrictions in fluid intake, dietary modifications, financial strain, distressing machine noises, and recurrent hospitalizations due to disease complications (6). Psychologically, they may exhibit anxiety (7) and depression (8), conditions that adversely affect quality of life and prolong hospital stays (7,8). Moreover, patients on hemodialysis often report impaired sleep quality (9) and an overall decline in quality of life (10).
There are several psychological interventions for patients with CKD that provide psychological, emotional, or social support without the use of pharmacological substances, which include counselling, social group support, cognitive-behavioral therapy, relaxation or visualization techniques, exercise, and education (11).
Non-pharmacological interventions can be combined with standard treatments (12) within a holistic framework (13) and, in hemodialysis, are applied to improve anxiety, depression, sleep quality, and health-related quality of life. The National Center for Complementary and Integrative Health lists guided imagery among the ten most common complementary approaches in adults (14). Guided imagery is a mind–body technique that employs mental imagery to promote relaxation and well-being. It relies on evocative, metaphor-guided, narrative scenes (15). Practically, the patient is guided to construct a desirable image and to shift attentional focus to the imagined scene, fully immersing and experiencing it multisensorially (16). While the guided imagery includes explicit sensory cues, direct suggestions, and keeps attention inside the constructed scene, other complementary approaches as mindfulness, use a breath-anchored, non-directive mindfulness exercise emphasizing present-moment awareness and acceptance, without imagery prompts, metaphors, or outcome-directed suggestions. Also, another important non-pharmacological intervention as progressive muscle relaxation, is very different from guided imagery, because this technique uses a 16-group progressive muscle relaxation protocol with submaximal contractions, followed by releases, emphasizing somatic contrast, without imagery or mindfulness instructions.
Within the psychosomatic perspective, the mind–body model analyses connections, relationships, and mechanisms of interaction between mind and body, transcending the Cartesian split between mind (res cogitans) and body (res extensa) to describe a holistic, global, non-reductive, indivisible psychophysical unit (17). Mental events influence the body: negative emotions and thoughts adversely affect somatic states, and bodily pathology worsens cognitive and emotional status. Conversely, positive emotions and thoughts benefit the body, and somatic health and well-being enhance cognitive and emotional functioning.The psychoneuroendocrinoimmunological model posits bidirectional links among the psyche, nervous, endocrine, and immune systems, with these interactions shaping health, well-being, and disease. Psychoneuroendocrinoimmunology is thus an interdisciplinary field examining how central nervous, endocrine, and immune system interactions influence psychological and physical health. In hemodialysis settings, guided imagery has been evaluated in an RCT by Beizaee et al. (18), demonstrating significant reductions in anxiety (p = 0.030) and depression (p = 0.001), along with decreases in heart rate and respiratory rate (p < 0.05). A second RCT by Afshar et al. (19) reported reductions in state anxiety (MD −9.11; 95% CI −10.26 to −7.96; p < 0.001) and trait anxiety (MD −8.94; 95% CI −10.31 to −7.57; p < 0.001), with improved sleep quality (MD −0.877; 95% CI −1.51 to −0.24; p < 0.007). Across these two studies, guided imagery emerged as a low-cost, equipment-free, easily organized intervention not associated with adverse effects.
Study objectives
The primary objective of this study is to evaluate the effect of guided imagery on the level of anxiety in patients with a diagnosis of CKD who are undergoing hemodialysis treatment. The selection of this primary objective is justified by the frequent presence of anxiety-provoking symptoms in individuals who are receiving hemodialysis treatment. The secondary objectives of the study are to evaluate the effect of guided imagery on depression, sleep, quality of life, interdialytic weight gain (IDWG), systolic blood pressure, diastolic blood pressure, heart rate, and respiratory rate in patients with a diagnosis of CKD who are undergoing hemodialysis treatment. The choice of these secondary objectives is motivated by evidence that these dependent variables, encompassing psychological and physiological domains, often deviate from normal ranges in patients with a diagnosis of CKD who are undergoing hemodialysis treatment within routine clinical practice across dialysis units.
Research Hypothesis
The research question is articulated as follows: in patients diagnosed with CKD who are undergoing hemodialysis treatment, does the application of guided imagery influence levels of anxiety, depression, sleep, quality of life, IDWG, systolic blood pressure, diastolic blood pressure, heart rate, and respiratory rate? From this question, the following hypothesis is proposed: in patients with a diagnosis of CKD who are undergoing haemodialysis treatment, applying guided imagery re-duces anxiety levels, reduces depression levels, improves sleep, improves quality of life, improves IDWG, systolic blood pressure, diastolic blood pressure, heart rate, and respiratory rate, compared with patients with a diagnosis of CKD undergoing haemodialysis treatment without the application of guided imagery.
Study design
Randomized controlled trial, non-pharmacological, without a medical device, prospective, single-center, with two parallel groups (Guided Imagery vs Standard Care), with 1:1 balanced allocation, pre-posttest, in patients diagnosed with CKD undergoing hemodialysis.
Study population
The reference population will be patients diagnosed with CKD who are undergoing hemodialysis at the Nephrology and Dialysis Department, Alghero Hospital, ASL n 1 of Sassari.
Inclusion Criteria
Patients with the following characteristics will be included: 1) age >18 years; 2) undergoing hemodialysis at least three times a week for at least six months; 3) able to read, write, and understand Italian; 4) not hearing impaired; 5) without a history of psychiatric disorders; 6) informed consent; and 7) normal cognitive function, assessed using the Montreal Cognitive Assessment (MOCA), a standardized instrument with a maximum score of 30 points. A score of 26 or higher has generally been considered indicative of normal cognitive function, with the following score categories: 27-30 indicates normal cognition, 18-26 reflects mild cognitive impairment, and scores below 18 suggest dementia or severe cognitive impairment (20).
Exclusion criteria
Patients with the following characteristics will be excluded: 1) instability of hemodialysis; 2) use of antipsychotic drugs.
Sampling methodology
A probability sampling will be carried out to ensure that each patient of the eligible population has a non-zero probability of being included in the sample. In this way, we guarantee the extension of the results with a certain level of confidence to the population. The probability sampling method will be a random sampling without repetition.
Generation of the randomization sequence
Participants will be randomized by simple randomization, using the online software Research Randomizer (21), ensuring a low risk of selection bias.
Allocation
To implement the random allocation sequence, opaque and sealed envelopes will be used.
Allocation concealment
Patients and researchers who enrol participants will not be able to predict assignment to the two groups because a procedure of concealment of the allocation to the two groups will be followed using sequentially numbered, opaque and sealed envelopes, ensuring a low risk of selection bias.
Blinding
Due to the nature of the intervention, it is impossible to blind the patient from the intervention.
Assessors will be blinded from knowledge of treatment assignment, research hypotheses, and individual patient progress. This blinded will be achieved through the following methodology: 1. separation of assessors from other figures involved in the study; 2. with the randomization and centralized concealment, the assessor will never be able to see the allocation list; 3. with the de-identification, during the training protocol, even with exercises on fictitious cases, assessors will be instructed not to ask patients which group they belong to;4. patient profiles that obscure any fields that might reveal the arm.
Sample size
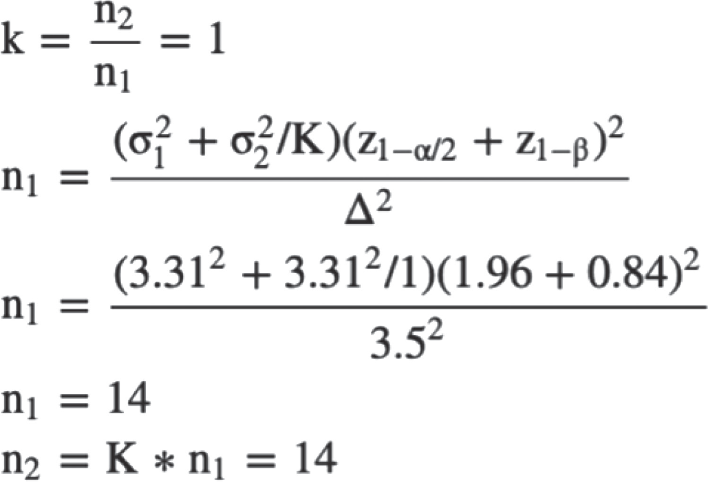
Considering the mean values equal to 10.50 and a standard deviation equal to 3.31 of the Hospital Anxiety and Depression Scale (HADS) anxiety measurement scale shown by a previous trial (18), an expected mean equal to 7 is set, a value that falls within the normal range in the HADS scale. Considering two independent groups, given Δ = |μ2-μ1|, the absolute difference between two means, which is equal to 3.5. Considering the probability of type I error, α = 0.05. Considering the probability of type II error, β = 0.2. Given a power of 80%. Given the critical Z value for α = 1.96 and for β = 0.84. Set K as the ratio between the sample size for group no. 2 and group no. 1. Given σ1, σ2, the variance of mean #1 and #2, the sample size is equal to 28 patients. Considering a dropout of 10% the sample size is 30 patients, 15 patients per group. In Figure 1, the calculation of the sample size is shown.
Phases of the study
The study comprises four phases, with corresponding time specifications:
T1 represents the enrolment and baseline phase. In this phase, inclusion and exclusion criteria will be assessed to determine patient eligibility. Patients who meet the inclusion criteria will be invited to participate in the study after being informed about its characteristics. If the patient agrees, the patient will be enrolled, and all forms required for the study will be explained to ensure a free and informed choice to participate and to obtain signed informed consent. Once informed consent has been obtained and the patient has therefore been enrolled, the following will be performed: 1) randomly allocating the patient to one of two groups; 2) recording sociodemographic and clinical variables on the Case Report Form (CRF); 3) collecting baseline outcome data and recording them on the CRF.
FIGURE 1 -. Sample size.
T2 represents the treatment phase with guided imagery. This phase lasts 4 weeks. Each patient will receive guided imagery for 30 minutes, three times a week, for 4 weeks (18).
T3 represents the post-test phase. This phase is conducted at the end of the 4 weeks of treatment with guided imagery. In this phase, data on the outcomes will be collected. The data will be entered into the CRF.
T4 represents the follow-up phase. This phase is conducted at 3 months post-intervention to assess sustained benefits.
Measurement tools: Primary outcome
Anxiety will be measured with the HADS. HADS has high psychometric validity, reliability and sensitivity for measuring anxiety and depression in a non-psychiatric clinical population (22). HADS consists of 14 items with two subscales, “anxiety” (HADS-A) and “depression” (HADS-D) (23). HADS has a 4-point Likert scale from 0 (no symptoms) to 3 (maximum symptom presentation). Scores for each anxiety and depression subscale range from 0 to 21 and are classified as follows: normal: 0-7, mild: 8-10, moderate: 11-14, and severe: 15-21. Therefore, a higher score indicates a higher level of anxiety or depression. Scores of 8 or higher on the anxiety or depression subscales indicate the possibility of anxiety or depression disorders (25). The quantitative score for both subscales ranges from 0 to 27. Scores of five or higher are associated with mild anxiety or depression. Scores of ten or higher suggest moderate anxiety or depression. Scores of 15 or higher indicate moderately severe anxiety or depression, while scores of 20 or higher indicate severe anxiety or depression (24). HADS-A contains 7 items as follows: 1, 3, 5, 7, 9, 11 and 13.
Measurement Tools: Secondary Outcomes
The secondary outcomes are considered exploratory.
Depression will be measured with HADS-D (22). HADS-D contains 7 items as follows: 2, 4, 6, 8, 10, 12 and 14.
Sleep quality will be measured with the Pittsburgh Sleep Quality Index (PSQI). The PSQI has high psychometric validity, reliability, and sensitivity for measuring sleep quality and patterns in the adult population (25). Respondents rate each item on a 3-point Likert-type scale, with 3 indicating an extremely negative aspect of sleep. Total scores of 5 or higher (out of a possible total score of 21) indicate poor sleep quality (25).
Quality of life will be measured with the Short Form-12. The SF-12 consists of 12 items and has high psychometric validity, reliability, and sensitivity for measuring a patient’s perception of his or her health status (26). The SF-12 consists of two subscales: the Physical Component Summary (PCS) and the Mental Component Summary (MCS). Scores range from 0 to 100, with higher scores indicating a greater perception of health.
Interdialytic Weight Gain (IDWG) will be measured with this formula: IDWG = {Pre-dialysis weight − post-dialysis weight} ÷ Dry weight × 100. The result is expressed as a percentage of the dry weight.
Systolic blood pressure will be measured with a digital sphygmomanometer in mm/Hg.
Diastolic blood pressure will be measured with a digital sphygmomanometer in mm/Hg.
Heart rate will be measured through a digital monitor in frequency/minute.
Respiratory rate will be measured through a digital monitor in breaths/minute.
Adverse reactions will be measured with frequencies and their respective descriptions.
Dropouts will be measured with frequencies and their respective descriptions.
Sociodemographic, clinical variables: gender, age, education level, occupation, marital status, BMI, years on dialysis, duration of hemodialysis session.
Inter-rater reliability
Inter-rater reliability is not a concern for our subjective outcome tools because the HADS, PSQI, and SF-12 are patient-reported outcomes, and therefore, inter-rater reliability does not apply.
To ensure uniform administration and scoring of the HADS, PSQI, and SF-12 questionnaires, we will use a standard operating procedure. This procedure is an operational document that technically explains who does what, how, when, and with which tools. This ensures that activities involving the HADS, PSQI, and SF-12 measurement tools are always performed consistently and in a traceable manner.
Statistical analysis
Data will be presented for both the intention-to-treat. For descriptive statistics in reference to distribution indices, frequency distributions and percentages will be used; for central tendency indices, the mean and range will be used; for dispersion index, standard deviation will be used.
Continuous outcomes (anxiety, depression, quality of life, quality of sleep, IDWG, systolic blood pressure, diastolic blood pressure, heart rate, respiratory rate) will be analyzed with a mixed-model ANOVA (2x3) that includes the effect of group (GI vs. SC), time (T0-T3-T4), and their interaction.
The normality assumptions of the distributions will be assessed with the Shapiro–Wilk test and by graphical inspection of the residuals, while the homogeneity of variance will be checked with the Levene test. In the presence of substantial violations of the assumptions, the data will be analyzed with equivalent nonparametric methods such as the Kruskal–Wallis test.
For each outcome, the mean difference between groups at the time points will be calculated with a 95% confidence interval and p-value. The effect size will also be measured with Cohen’s d. Missing data or dropouts will be handled with multiple imputation and last observation carried forward.
The level of statistical significance is set at ≤0.05 (two-tailed). Statistical analyses will be performed using IBM Statistical Package for the Social Sciences (SPSS®).
Treatments
Guided Imagery Group
Patients in this group will receive four guided imagery treatments of 30 minutes each. The guided imagery intervention used is a psychological support intervention and is not a psychotherapeutic intervention. The intervention is conducted in an outpatient clinic, quiet and distant from the open space where dialysis treatments are performed. The intervention is scheduled on a day when the person is not undergoing dialysis. The intervention includes a first phase that aims to achieve a state of physical relaxation through a simple body relaxation technique. The patient sits in a comfortable armchair, is invited to gently close their eyes, and take deep and slow inhalations and exhalations. During the deep and slow inhalations and exhalations, the person is gently asked to move their attention to the chest and abdomen, which rise during inhalation and relax during exhalation. In this phase, the person is asked to try to feel the fresh air entering the nostrils and the warm air exiting the nostrils. Once the state of body relaxation is achieved, a guided imagery technique is used, where the person can be asked to evoke a scene in which they feel well and to feel all the pleasant sensations that the scene produces, to participate as best they can within the imagined scene. Or to bring out a scene of relaxation and well-being that is slowly and delicately described, and to feel all the pleasant sensations that the scene produces, to participate as best they can within the imagined scene. At the end of the guided imagery, the person is asked to gently let go of the imagined scene, to slowly perceive their body, and after a count from 1 to 5, to gently open their eyes. The intervention is carried out by a psychologist trained in guided imagery.
To ensure consistency between guided imagery sessions, the following methodology will be implemented: 1. the suggestion script is standard; 2. the intervention is performed by the same psychologist; 3. the intervention will be carried out for the same duration; 4. the intervention is always performed in the same location; 5. the intervention will be carried out at the same time.
Control group
Patients in this group received standard care and will not be able to access the intervention with guided imagery. Standard care will consist of specific hemodialysis procedures and nephrological and nursing medical care. To ensure an active control condition, a neutral audio session was used.
Limitations
This protocol shows some limitations. The first limit is the generalizability. To increase generalizability, power, and representativeness, we had considered expanding the study to a multicenter setting, but this was not possible due to organizational problems. A second limit is the small sample size. To mitigate the limitations of the small sample and therefore reduce variance, non-dichotomous but continuous measurement tools will be used, along with standardized measurement methodology, well-defined endpoints, standard procedures, and training of all professionals involved in the study. Another limitation is the short follow-up. To mitigate this limitation, have been identified outcomes that vary rapidly over time and are responsive, closely spaced time points, and statistical models that use all time points have been identified. Third, the use of a single center. To mitigate the single-center limitation, increasing internal validity, credibility, and generalizability, broad eligibility criteria were used, avoiding “ideal” cohorts; recruitment was heterogeneous, randomization and concealment were centralized, and all procedures were standardized. Finally, from a psychological point of view, a potential interindividual variability in imagery ability may be present, which may moderate the response to the intervention.
Conclusions
This is the first international research protocol that studies the effects of guided imagery in hemodialysis patients on various subjective and objective outcomes. The expected results in this study are: a) reduction of anxiety and depression levels; b) improvement of sleep quality and health status; c) improvement of IDWG, systolic blood pressure, diastolic blood pressure, heart rate and respiratory rate. If the effects show a statistically significant efficacy, guided imagery could be used during the daily care of hemodialysis patients.
Other information
Corresponding author:
Francesco Burrai
email: francesco.burrai@aslsassari.it
Disclosures
Conflict of interest: The Authors declare no conflict of interest.
Financial support: This research received no specific grant from any funding agency in the public, commercial, or not-for-profit sectors.
Authors’ contribution: Burrai F, Conceptualization, Data Curation, Formal Analysis, Investigation, Methodology, Project Administration, Resources, Software, Supervision, Validation, Visualization, Writing – Original Draft, Writing – Review & Editing; Sotgia M, Supervision, Validation; Giaconi GL, Supervision, Validation; Senatore M, Supervision, Validation.
References
- Georgianos PI, Agarwal R. Resistant hypertension in dialysis: epidemiology, diagnosis, and management. J Am Soc Nephrol. 2024;35(4):505-514. https://doi.org/10.1681/ASN.0000000000000315 PMID:38227447 DOI: https://doi.org/10.1681/ASN.0000000000000315
- Morales A, William JH. Chronic dialysis therapies. Adv Kidney Dis Health. 2024;31(6):553-565. https://doi.org/10.1053/j.akdh.2024.06.003 PMID:39577890 DOI: https://doi.org/10.1053/j.akdh.2024.06.003
- Khatri P, Davenport A. Dialysis for older adults: why should the targets be different? J Nephrol. 2024;37(4):841-850. https://doi.org/10.1007/s40620-023-01835-1 PMID:38180729 DOI: https://doi.org/10.1007/s40620-023-01835-1
- Zhang N, Chen Y, Yin J, et al. Psychological profiles in patients receiving maintenance dialysis: Classification, correlates, and behavioral health outcomes. J Health Psychol. 2024;30(7):1665-1679. PMID:39248086 DOI: https://doi.org/10.1177/13591053241277978
- Chan GC, Kalantar-Zadeh K, Ng JK, et al. Frailty in patients on dialysis. Kidney Int. 2024;106(1):35-49. https://doi.org/10.1016/j.kint.2024.02.026 PMID:38705274 DOI: https://doi.org/10.1016/j.kint.2024.02.026
- Kalra S, Sharma S, Sahay M. Dialysis Distress. J Pak Med Assoc. 2024;74(5):1000-1002. https://doi.org/10.47391/JPMA.24-37 PMID:38783457 DOI: https://doi.org/10.47391/JPMA.24-37
- Ye W, Wang L, Wang Y, et al. Depression and anxiety symptoms among patients receiving maintenance hemodialysis: a single center cross-sectional study. BMC Nephrol.2022;1;23(1):417. doi: 10.1186/s12882-022-03051-8. DOI: https://doi.org/10.1186/s12882-022-03051-8
- Vázquez I, Figueiras A, Salgado-Barreira Á. The utility of brief instruments for depression screening in dialysis patients. Clin Kidney J. 2024;18(1):sfae369. https://doi.org/10.1093/ckj/sfae369 PMID:39781480 DOI: https://doi.org/10.1093/ckj/sfae369
- Lyons OD. Sleep disorders in chronic kidney disease. Nat Rev Nephrol. 2024;20(10):690-700. https://doi.org/10.1038/s41581-024-00848-8 PMID:38789686 DOI: https://doi.org/10.1038/s41581-024-00848-8
- Lu Y, Zhai S, Liu Q, et al. Correlates of symptom burden in renal dialysis patients: a systematic review and meta-analysis. Ren Fail. 2024;46(2):2382314. https://doi.org/10.1080/0886022X.2024.2382314 PMID:39115143 DOI: https://doi.org/10.1080/0886022X.2024.2382314
- Yang H, Qi L, Pei D. Effect of psychosocial interventions for depression in adults with chronic kidney disease: a systematic review and meta-analysis. BMC Nephrol. 2024;25(1):17. https://doi.org/10.1186/s12882-023-03447-0 PMID:38200465 DOI: https://doi.org/10.1186/s12882-023-03447-0
- Micheluzzi V, Burrai F, Casula M, et al. Effectiveness of virtual reality on pain and anxiety in patients undergoing cardiac procedures: a systematic review and meta-analysis of randomized controlled trials. Curr Probl Cardiol. 2024;49(5):102532. https://doi.org/10.1016/j.cpcardiol.2024.102532 PMID:38503359 DOI: https://doi.org/10.1016/j.cpcardiol.2024.102532
- Brioni E, Delli Zotti G, Apuzzo L, et al. Self-efficacy and self-management in patients in hemodialysis: a narrative review of multidisciplinary theories. G Ital Nefrol. 2021;38(3):2021-vol3. PMID:34169692
- NCCIH. NIH analysis reveals a significant rise in use of complementary health approaches, especially for pain management. Online https://www.nccih.nih.gov/news/press-releases/nih-analysis-reveals-a-significant-rise-in-use-of-complementary-health-approaches-especially-for-pain-management (Accessed July 2025)
- Jallo N, Ruiz RJ, Elswick RK Jr, et al. Guided imagery for stress and symptom management in pregnant African American women. Evid Based Complement Alternat Med. 2014;2014(1):840923. https://doi.org/10.1155/2014/840923 PMID:24719646 DOI: https://doi.org/10.1155/2014/840923
- Bedford FL. A perception theory in mind-body medicine: guided imagery and mindful meditation as cross-modal adaptation. Psychon Bull Rev. 2012;19(1):24-45. https://doi.org/10.3758/s13423-011-0166-x PMID:22065424 DOI: https://doi.org/10.3758/s13423-011-0166-x
- Burrai F, Apuzzo L, Zanotti R. Effectiveness of rhythmic auditory stimulation on gait in Parkinson Disease: a systematic review and meta-analysis. Holist Nurs Pract. 2024;38(2):109-119. https://doi.org/10.1097/HNP.0000000000000462 PMID:34121062 DOI: https://doi.org/10.1097/HNP.0000000000000462
- Beizaee Y, Rejeh N, Heravi-Karimooi M, et al. The effect of guided imagery on anxiety, depression and vital signs in patients on hemodialysis. Complement Ther Clin Pract. 2018;33:184-190. https://doi.org/10.1016/j.ctcp.2018.10.008 PMID:30396619 DOI: https://doi.org/10.1016/j.ctcp.2018.10.008
- Afshar M, Mohsenzadeh A, Gilasi H, et al. The effects of guided imagery on state and trait anxiety and sleep quality among patients receiving hemodialysis: a randomized controlled trial. Complement Ther Med. 2018;40:37-41. https://doi.org/10.1016/j.ctim.2018.07.006 PMID:30219466 DOI: https://doi.org/10.1016/j.ctim.2018.07.006
- Nasreddine ZS, Phillips NA, Bédirian V, et al. The Montreal Cognitive Assessment, MoCA: a brief screening tool for mild cognitive impairment. J Am Geriatr Soc. 2005;53(4):695-699. https://doi.org/10.1111/j.1532-5415.2005.53221.x PMID:15817019 DOI: https://doi.org/10.1111/j.1532-5415.2005.53221.x
- Urbaniak GC, Plous S. Research randomizer (Version 4.0). Online http://www.randomizer.org/ (Accessed July 2025)
- Zigmond AS, Snaith RP. The hospital anxiety and depression scale. Acta Psychiatr Scand 1983; 67:361–70. 30. https://doi.org/10.1111/j.1600-0447.1983.tb09716.x DOI: https://doi.org/10.1111/j.1600-0447.1983.tb09716.x
- Bjelland I, Dahl AA, Haug TT, et al. The validity of the Hospital Anxiety and Depression Scale. An updated literature review. J Psychosom Res. 2002;52(2):69-77. https://doi.org/10.1016/S0022-3999(01)00296-3 PMID:11832252 DOI: https://doi.org/10.1016/S0022-3999(01)00296-3
- Stafford L, Berk M, Jackson HJ. Validity of the Hospital Anxiety and Depression Scale and Patient Health Questionnaire-9 to screen for depression in patients with coronary artery disease. Gen Hosp Psychiatry. 2007;29(5):417-424. https://doi.org/10.1016/j.genhosppsych.2007.06.005 PMID:17888808 DOI: https://doi.org/10.1016/j.genhosppsych.2007.06.005
- Buysse DJ, Reynolds CF III, Monk TH, et al. The Pittsburgh Sleep Quality Index: a new instrument for psychiatric practice and research. Psychiatry Res. 1989;28(2):193-213. https://doi.org/10.1016/0165-1781(89)90047-4 PMID:2748771 DOI: https://doi.org/10.1016/0165-1781(89)90047-4
- Ware J Jr., Kosinski M, Keller SD. A 12-Item shortform health survey: construction of scales and preliminary tests of reliability and validity. Med Care. 1996;34:220-233. https://doi.org/10.1097/00005650-199603000-00003 PMID:8628042 DOI: https://doi.org/10.1097/00005650-199603000-00003






