![]() |
Glob Reg Health Technol Assess 2024; 11: 138-147 ISSN 2283-5733 | DOI: 10.33393/grhta.2024.2731 ORIGINAL RESEARCH ARTICLE |
![]() |
Differenze di genere e ipercolesterolemia: evidenze real-world dallo studio WECARE (Women Effective CArdiovascular Risk Evaluation)
Gender differences and hypercholesterolemia: real-world evidence from the study WECARE (Women Effective CArdiovascular Risk Evaluation)
Introduction: The therapeutic control of LDL-cholesterol is essential in cardiovascular prevention, as recommended by the recent guidelines.
Objective: To evaluate gender differences in terms of demographic and clinical characteristics, treatment pattern, treatment adherence and healthcare costs in patients on lipid-lowering therapy, stratified by cardiovascular risk in the Italian real clinical practice.
Methods: An observational analysis was conducted on the administrative databases of healthcare institutions, covering about 6.1 million health-assisted subjects. After inclusion of all patients on lipid-lowering therapy between January 2017 and June 2020, the population was investigated in the period before the first prescription of a lipid-lowering drug and followed-up for at least 12 months. Clinical and demographic variables were compared after stratification by gender and by cardiovascular risk (very high/high/other risk). The main outcome measures were treatment adherence and direct healthcare costs during follow-up.
Results: Of the 684,829 patients with high/very high cardiovascular risk, 337,394 were men and 347,435 women, aged on average 69.3 years and 72.1 years, respectively (p < 0.001). Men were characterised by a worse comorbidity profile. Regardless of cardiovascular risk, female subjects were associated with larger utilisation of low-potency statins and lower adherence (p < 0.001). The annual healthcare costs per patient during follow-up were higher in men than in women (p < 0.001).
Conclusions: The results highlighted larger utilisation of low-potency statins, a lower adherence and a milder comorbidity profile in women, the latter feasibly explaining the reduced healthcare costs compared to men.
Keywords: Cardiovascular risk, Healthcare costs, LDL-cholesterol, Lipid-lowering therapy, Therapeutic adherence
Received: November 21, 2023
Accepted: April 8, 2024
Published online: June 11, 2024
Global & Regional Health Technology Assessment - ISSN 2283-5733 - www.aboutscience.eu/grhta
© 2024 The Authors. This article is published by AboutScience and licensed under Creative Commons Attribution-NonCommercial 4.0 International (CC BY-NC 4.0).
Commercial use is not permitted and is subject to Publisher’s permissions. Full information is available at www.aboutscience.eu
Introduzione
Elevati livelli circolanti di colesterolo LDL (C-LDL) rappresentano un importante fattore di rischio cardiovascolare (1). Le ultime Linee Guida congiunte della Società Europea di Cardiologia (ESC) e di Aterosclerosi (EAS) raccomandano il raggiungimento di livelli quanto più bassi possibile di C-LDL per un’efficace prevenzione cardiovascolare (2). Le statine restano l’opzione di prima linea per il trattamento dell’ipercolesterolemia, ma nei pazienti a rischio cardiovascolare molto elevato o in prevenzione secondaria, è spesso necessario il ricorso a statine ad alta potenza, capaci di dimezzare i valori iniziali di C-LDL (vale a dire, atorvastatina 40-80 mg e rosuvastatina 20-40 mg) (3). Successive strategie includono terapie combinate di statine con ezetimibe (4) e inibitori della proproteina convertasi subtilisina/kexina di tipo 9 (PCSK9-I) (5). Tuttavia, molti studi hanno evidenziato un notevole divario tra i valori di C-LDL osservati dopo trattamento e quelli suggeriti (6). Una ragione risiede verosimilmente nell’aderenza subottimale che comporta una maggiore probabilità di fallimento terapeutico, indipendentemente dal profilo di rischio cardiovascolare e dal target lipidico associato (7-9). Altro fattore rilevante nell’assessment del rischio cardiovascolare e del metabolismo lipidico è il sesso. Le donne in età fertile sembrano beneficiare della protezione cardiovascolare conferita dagli estrogeni, tuttavia il cambiamento degli stili di vita ha fatto assistere a un progressivo livellamento tra i sessi dell’impatto di fattori di rischio quali ipertensione, sindrome metabolica, obesità e fumo (10).
La presente analisi, condotta su dati real-world in Italia, aveva l’obiettivo di rilevare differenze di genere in termini di caratteristiche demografiche e cliniche, pattern terapeutico, aderenza e costi sanitari diretti a carico del Servizio Sanitario Nazionale (SSN) nei pazienti trattati con farmaci ipolipemizzanti, stratificati per rischio cardiovascolare.
Metodi
Disegno di studio e origine dei dati
È stata disegnata un’analisi retrospettiva sui flussi amministrativi di Enti sanitari geograficamente distribuiti sul territorio nazionale (per circa 6,1 milioni di assistiti), utilizzando i seguenti database (dettagliati nel Materiale supplementare): archivio anagrafe assistibili, database dell’assistenza farmaceutica territoriale, database delle schede di dimissione ospedaliera, database delle prestazioni specialistiche ambulatoriali e archivio delle esenzioni per patologia.
In ottemperanza alla normativa sulla privacy (GDPR 2016/679), ad ogni assistito è stato assegnato un codice identificativo univoco anonimo e ai soggetti incaricati dell’analisi non è stata fornita alcuna informazione che consentisse di risalire in modo diretto o indiretto all’identità dell'assistito. Lo studio è stato condotto in coerenza con le Linee Guida delle principali società scientifiche e di agenzie pubbliche di ricerca e con la normativa vigente in materia di conduzione di analisi osservazionali (11-16). Il progetto da cui sono state tratte le presenti analisi è stato notificato e approvato dai Comitati Etici locali degli enti sanitari coinvolti.
Popolazione in studio
Tra gennaio 2017 e giugno 2020 sono stati identificati tutti i soggetti adulti (≥ 18 anni) con almeno una prescrizione di ipolipemizzanti in monoterapia o in combinazione con ezetimibe, elencati nella Tabella S1 del Materiale supplementare con il relativo Codice Anatomico, Terapeutico e Chimico (ATC). La data-indice era quella della prima prescrizione del farmaco ipolipemizzante. I pazienti sono stati caratterizzati da gennaio 2010 (inizio di disponibilità dei dati) fino alla data-indice (periodo di caratterizzazione). Il follow-up includeva l’intervallo dalla data-indice a tutto periodo successivo disponibile (almeno 12 mesi, massimo fino a giugno 2021). Una rappresentazione schematica della timeline è riportata nella Figura 1.
FIGURE 1 - Rappresentazione schematica della timeline dell’analisi.
I pazienti con un follow-up inferiore a 12 mesi o senza inclusione continua nel periodo di studio (ad esempio per trasferimento a un altro ente sanitario) sono stati esclusi.
Alla data-indice sono stati raccolti i parametri demografici e nel periodo di caratterizzazione i trattamenti farmacologici e/o gli eventi per la definizione del livello di rischio cardiovascolare residuo, il tempo trascorso dalla data della prima diagnosi presunta utilizzata per la stratificazione del rischio cardiovascolare e il profilo di comorbilità, valutato con il Charlson Comorbidity Index (CCI). Nel corso dell’intero follow-up è stato analizzato lo schema terapeutico ipolipemizzante, vale a dire l’utilizzo di statine a bassa potenza e ad alta potenza, di combinazioni con ezetimibe e di ezetimibe in monoterapia. L’aderenza al trattamento è stata valutata durante i primi 12 mesi di follow-up (pazienti con follow-up inferiore sono stati esclusi) mediante la metodica della proporzione dei giorni coperti dalla terapia (proportion of days covered, PDC). I pazienti venivano considerati aderenti con PDC ≥ 80%, parzialmente aderenti con PDC 41-79% e non aderenti con PDC < 40%. In caso di modifica dello schema terapeutico rispetto alla data-indice, l’aderenza è stata comunque calcolata a partire dalla prima prescrizione di una terapia ipolipemizzante fino a 12 mesi di follow-up, anche per i pazienti con uno switch verso trattamenti più complessi. Per la valutazione della complessità della terapia è stata applicata la seguente gerarchia (in ordine decrescente): combinazione di statine con ezetimibe o ezetimibe in monoterapia, statine ad alta potenza e statine a bassa potenza (17).
I costi sanitari diretti medi per paziente, derivanti dalle spese sostenute dal SSN per farmaci, esami diagnostici, visite specialistiche e ricoveri ospedalieri, sono stati calcolati al primo anno di follow-up e sull’intero follow-up (annualizzati e totali).
Stratificazione della popolazione sulla base del rischio cardiovascolare residuo
I pazienti sono stati stratificati per rischio cardiovascolare residuo ricercando la presenza di specifici trattamenti farmacologici (nei 12 mesi prima della data-indice, vale a dire fino a gennaio 2016, corrispondente a un anno prima dell’inclusione del primo paziente) e le diagnosi di ricovero (durante tutto il periodo disponibile prima della data-indice, fino a gennaio 2010). In base ai criteri precedentemente descritti e dettagliati nel Materiale supplementare (18), sono state identificate le categorie di rischio cardiovascolare molto alto, alto e altro.
Analisi statistica
Le variabili continue sono presentate come media ± deviazione standard (DS) o come mediana con range interquartile (IQR) e quelle categoriche con numeri e percentuali. Le variabili continue sono state confrontate con il t-test di Student, se distribuite normalmente, o con il test di Mann-Whitney per distribuzioni non normali e quelle categoriche con il test chi-quadrato. Un modello di regressione logistica multivariata, aggiustato per sesso, età, rischio cardiovascolare, comorbilità e regime ipolipemizzante è stato sviluppato per valutare i fattori predittivi dell’aderenza alla terapia, dell’utilizzo di statine a bassa potenza e dei costi sanitari annuali medi per paziente al primo anno di follow-up e per tutto il follow-up disponibile. Con la regressione sono stati calcolati l’Odds Ratio (OR) o il coefficiente β con intervallo di confidenza al 95% (IC 95%). Un valore p < 0,05 è stato considerato statisticamente significativo e le analisi sono state eseguite utilizzando STATA SE, versione 17.0 (StataCorp LLC, College Station, TX, USA).
| Totale | Maschi | Femmine | p | |
|---|---|---|---|---|
| N. pazienti | 856.334 | 414.658 | 441.676 | |
| Età, anni (media ± DS) | 68,6 ± 11,8 | 67,2 ± 12,1 | 70,0 ± 11,4 | < 0,001 |
| Classi d’età | ||||
| < 30 anni (n, %) | 1.852 (0,2%) | 1.033 (0,2%) | 819 (0,2%) | < 0,001 |
| 30-65 anni (n, %) | 316.662 (37,0%) | 170.384 (41,1%) | 146.278 (33,1%) | |
| > 65 anni (n, %) | 537.820 (62,8%) | 243.241 (58,7%) | 294,579 (66,7%) | |
| CCI (media ± DS) | 0,6 ± 0,9 | 0,7 ± 1,0 | 0,6 ± 0,8 | < 0,001 |
| 0 (n, %) | 464.134 (54,2%) | 211.409 (51,0%) | 252.725 (57,2%) | < 0,001 |
| 1 (n, %) | 291.814 (34,1%) | 146.448 (35,3%) | 145.366 (32,9%) | |
| ≥ 2 (n, %) | 100.386 (11,7%) | 56.801 (13,7%) | 43.585 (9,9%) | |
| Profilo di rischio cardiovascolare | ||||
| Molto alto (n, %), | 300.431 (35,1%) | 169.516 (40,9%) | 130.915 (29,6%) | < 0,001 |
| Alto (n, %) | 384.398 (44,9%) | 167.878 (40,5%) | 216.520 (49,0%) | |
| Altro (n, %) | 171.505 (20,0%) | 77.264 (18,6%) | 94.241 (21,3%) | |
| Follow-up, anni (media, mediana) | 3,7-3,9 | 3,7-3,9 | 3,8-4,0 | n.s. |
CCI: Charlson Comorbidity Index; DS: deviazione standard; n.s.: non significativo.
Risultati
Caratteristiche di base della popolazione
Il campione di popolazione coperto dagli enti partecipanti era pari a 6.143.770 residenti, che corrisponde a circa il 10,3% della popolazione nazionale. Conteggiando il numero di assistiti per area geografica, il campione in analisi era costituto da 1.597.842 (26%) residenti al nord, 2.224.794 (36%) al centro e 2.321.134 (38%) al sud.
Da questo campione sono stati inclusi nell’analisi 856.334 pazienti (il 14% degli assistiti), di cui 414.658 maschi (M) e 441.676 femmine (F). Le caratteristiche demografiche e cliniche della popolazione totale sono riportate nella Tabella 1. Le donne erano mediamente più anziane degli uomini (M vs F: 67,2 vs 70,0 anni, p < 0,001) e meno gravate da comorbilità, come documentato dal CCI significativamente inferiore (CCI: 0,7 vs 0,6, p < 0,001).
Nella stratificazione per rischio cardiovascolare, il sesso maschile risultava maggiormente rappresentato nel profilo di rischio molto alto rispetto a quello femminile (M vs F; rischio cardiovascolare molto alto: 40,9% vs 29,6%; rischio cardiovascolare alto: 40,5% vs 49,9%; altro rischio cardiovascolare: 18,6% vs 21,3%, p < 0,001).
Farmacoutilizzazione
Dalla distribuzione degli schemi terapeutici è emerso un maggiore utilizzo di statine ad alta potenza o combinate con ezetimibe negli uomini, mentre le donne sono state più comunemente trattate con statine a bassa potenza (p < 0,001) (Fig. 2A).
Dal raffronto tra i due sessi per livelli di aderenza (valutata nel corso dei primi 12 mesi di follow-up e sull’intera popolazione inclusa visto che nessun paziente era deceduto entro il primo anno), si è osservata una percentuale inferiore di donne aderenti (PDC ≥ 80%, M vs F: 50,8% vs 44,9%, p < 0,001) (Fig. 2B).
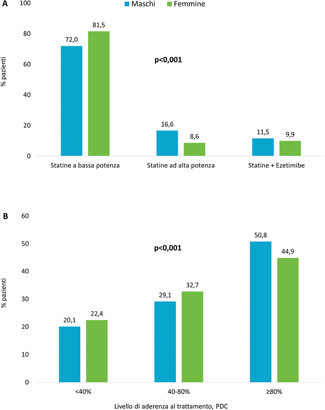
FIGURE 2 - Differenze tra i sessi (A) nella distribuzione degli schemi terapeutici ipolipemizzanti e (B) nei livelli di aderenza al trattamento espressa come PDC, proportion of days covered (i pazienti si definiscono aderenti se PDC ≥ 80%). Totale pazienti: 856.334.
Analisi dei pazienti con rischio cardiovascolare alto e molto alto
La Tabella 2 riporta le caratteristiche demografiche e cliniche della popolazione in trattamento ipolipemizzante nelle sole categorie di rischio cardiovascolare alto e molto alto, corrispondenti a 684.829 pazienti (circa l’80% del totale esaminato), di cui 337.394 uomini e 347.435 donne. Anche in questo caso, l’età delle donne è risultata mediamente più elevata (M vs F: 69,3 vs 72,1 anni, p < 0,001). Per entrambi i livelli di rischio cardiovascolare, il confronto per classi di età ha mostrato che la fascia 30-65 anni era più rappresentata nel sesso maschile (M vs F; rischio cardiovascolare molto alto: 32,7% vs 23,4%, p < 0,001; rischio cardiovascolare alto: 36,3% vs 27,0%, p < 0,001). Dopo i 65 anni, si osservava un’inversione di tendenza con una percentuale di donne maggiore nelle classi di rischio cardiovascolare più elevato (M vs F; rischio cardiovascolare molto alto: 67,3% vs 76,5%, p < 0,001; rischio cardiovascolare alto: 63,6% vs 73,0%, p < 0,001). Il sesso maschile si associava a un peggiore profilo di comorbilità, come confermato dalla frequenza superiore di uomini nella categoria con CCI ≥ 2 in entrambe le classi di rischio cardiovascolare (M vs F; rischio cardiovascolare molto alto con CCI ≥ 2: 28,7% vs 27,8%, p < 0,001; rischio cardiovascolare alto con CCI ≥ 2: 3,8% vs 2,7%, p < 0,001).
| Totale | Maschi | Femmine | p | |
|---|---|---|---|---|
| Rischio cardiovascolare molto alto e alto | ||||
| N. pazienti | 684.829 | 337.394 | 347.435 | |
| Età, anni (media ± DS) | 70,7 ± 10,8 | 69,3 ± 11,0 | 72,1 ± 10,5 | < 0,001 |
| Età, anni (mediana, IQR) | 71 (64-79) | 70 (62-77) | 73 (65-80) | < 0,001 |
| Rischio cardiovascolare molto alto | ||||
| N. pazienti | 300.431 | 169.516 | 130.915 | |
| Classi d’età | ||||
| < 30 anni (n, %) | 182 (0,1%) | 97 (0,1%) | 85 (0,1%) | < 0,001 |
| 30-65 anni (n, %) | 85.993 (28,6%) | 55.365 (32,6%) | 30.628 (23,4%) | |
| > 65 anni (n, %) | 214.256 (71,3%) | 114.054 (67,3%) | 100.202 (76,5%) | |
| CCI (media ± DS) | 1,3 ± 1,0 | 1,3 ± 1,1 | 1,3 ± 0,9 | < 0,001 |
| 0 (n, %) | 45.034 (15,0%) | 28.817 (17,0%) | 16.217 (12,4%) | < 0,001 |
| 1 (n, %) | 170.382 (56,7%) | 92.059 (54,3%) | 78.323 (59,8%) | |
| ≥2 (n, %) | 85.015 (28,3%) | 48.640 (28,7%) | 36.375 (27,8%) | |
| Follow-up, anni (media, mediana) | 3,8-4,0 | 3,7-4,0 | 3,8-4,0 | n.s. |
| Rischio cardiovascolare alto | ||||
| N. pazienti | 384.398 | 167.878 | 216.520 | |
| Classi d’età | ||||
| < 30 anni (n, %) | 179 (0,05%) | 101 (0,06%) | 78 (0,04%) | < 0,001 |
| 30-65 anni (n, %) | 119.495 (31,1%) | 61.021 (36,3%) | 58.474 (27,0%) | |
| > 65 anni (n, %) | 264.724 (68,9%) | 106.756 (63,6%) | 157.968 (73,0%) | |
| CCI (media ± DS) | 0,3 ± 0,6 | 0,3 ± 0,6 | 0,3 ± 0,6 | < 0,001 |
| 0 (n, %) | 282.368 (73,5%) | 121.667 (72,5%) | 160.701 (74,2%) | < 0,001 |
| 1 (n, %) | 89,10 (23,4%) | 39.841 (23,7%) | 50.069 (23,1%) | |
| ≥ 2 (n, %) | 12.120 (3,2%) | 6.370 (3,8%) | 5.750 (2,7%) | |
| Follow-up, anni (media, mediana) | 3,8-4,0 | 3,8-4,0 | 3,8-4,0 | n.s. |
CCI: Charlson Comorbidity Index; DS: deviazione standard; n.s.: non significativo.
L’analisi della distribuzione dei regimi terapeutici ha confermato il trend rilevato nella popolazione totale. Indipendentemente dalla classe di rischio, è stata riscontrata una proporzione differente e statisticamente significativa nell’utilizzo dei diversi regimi ipolipemizzanti tra i sessi, con una preponderanza di impiego di statine a bassa potenza nelle donne e di statine ad alta potenza o di una combinazione di statine con ezetimibe negli uomini (p < 0,001) (Fig. 3A).
Riguardo all’aderenza, in analogia con la valutazione condotta sulla popolazione totale, la percentuale di uomini aderenti (PDC ≥ 80%) era superiore rispetto a quella osservata nelle donne, indipendentemente dal profilo di rischio cardiovascolare (M vs F; rischio cardiovascolare molto alto: 56,6% vs 50,2%, p < 0,001; rischio cardiovascolare alto: 52,0 vs 45,7%, p < 0,001) (Fig. 3B).
Nel corso dell’intero periodo di follow-up, in totale 367.521 (42,9%) pazienti hanno interrotto il trattamento ipolipemizzante (vale a dire che non presentavano prescrizioni di terapia ipolipemizzante nell’ultimo trimestre di follow-up).
Analisi dei costi sanitari sostenuti dal SSN
Al primo anno di follow-up, i costi totali per paziente erano significativamente più elevati per gli uomini che per le donne (€ 2.820 vs € 2.256, p < 0,001). Le voci di spesa più impattanti erano quelle relative ai ricoveri sia da cause non cardiovascolari (€ 662 vs € 557) che cardiovascolari (€ 548 vs € 224). Le altre voci di spesa erano comparabili tra i due sessi: servizi specialistici ambulatoriali (€ 519 vs € 491), farmaci non cardiovascolari (€ 500 vs € 505), farmaci cardiovascolari (€ 441 vs € 349) e statine (€ 151 vs € 131) (Fig. 4A).
FIGURE 3 - Differenze tra i sessi nei pazienti stratificati per profilo di rischio cardiovascolare (A) nella distribuzione degli schemi terapeutici ipolipemizzanti e (B) nella percentuale di pazienti aderenti (PDC ≥ 80%). Popolazione considerata: 684.829 pazienti.
L’analisi dei costi sanitari medi annui per paziente nell’intero follow-up ha confermato come il sesso maschile si associasse a spese medie superiori, sia in totale (€ 3.230 vs € 2.486, p < 0,001), sia per le singole voci di spesa: ricoveri da cause non cardiovascolari (€ 952 vs € 753), ricoveri da cause cardiovascolari (€ 579 vs € 260), servizi specialistici ambulatoriali (€ 563 vs € 504), farmaci cardiovascolari (€ 518 vs € 415), altri farmaci (€ 574 vs € 516) e statine (€ 46 vs € 38) (Fig. 4B).
Il costo totale medio per paziente nell’intero periodo considerato e per tutta la popolazione inclusa era pari a € 8.607 ± € 20.319 (mediana € 4.363).
I costi totali diretti annualizzati medi per l’intero periodo di studio nei pazienti stratificati per rischio cardiovascolare hanno mostrato che il sesso maschile assorbiva spese superiori sia nella classe a rischio cardiovascolare molto alto (€ 4.504 vs € 3.856, p < 0,001) che in quella a rischio cardiovascolare alto (€ 2.721 vs € 2.198, p < 0,001).
Nel confronto tra fasce d’età, al sesso maschile si associavano costi medi per paziente tendenzialmente più elevati, anche se tale differenza si evidenziava dopo i 30 anni (M vs F < 30 anni: € 1.172 vs € 1.897; 30-65 anni: € 2.170 vs € 1.730; ≥ 65 anni: € 3.981 vs € 2.682).
Dal modello di regressione logistica multivariata, la probabilità di aderenza alla terapia ipolipemizzante era positivamente correlata con il sesso maschile (OR = 1,226; 95% IC: 1,215-1,237, p < 0,001), con l’età maggiore di 65 anni (OR = 2,914; 95% IC: 2,600-3,266, p < 0,001), con il profilo di rischio cardiovascolare molto alto (OR = 1,209; 95% IC: 1,195-1,223, p < 0,001) e con l’uso di statine ad alta potenza (OR = 1,361; 95% IC: 1,342-1,379, p < 0,001) e di statine in combinazione con ezetimibe (OR = 1,363; 95% IC: 1,344-1,382, p < 0,001) (Tab. 3).
Le variabili predittrici di aumento delle spese sanitarie erano il sesso maschile (β: 49,5; 95% IC: 10,7-88,4, p = 0,012), l’età avanzata (β: 609,1; 95% IC: 317,1-847,1, p < 0,001), il rischio cardiovascolare molto alto (β: 398,8; 95% IC: 326,2-471,4, p < 0,001), il trattamento con statine ad alta potenza (β: 1.281,2; 95% IC: 1.168,3-1.394,2, p < 0,001) e l’associazione statine-ezetimibe (β: 849,4; 95% IC: 752,9-946,0, p < 0,001) (Tab. 4).
Discussione
L’analisi, condotta nella reale pratica clinica italiana, ha messo in luce alcune importanti differenze nei pazienti in terapia ipolipemizzante, stratificati per sesso e rischio cardiovascolare, in termini di caratteristiche demografiche e cliniche, tipologia degli schemi farmacologici utilizzati e aderenza terapeutica.
FIGURE 4 - Costi sanitari diretti per paziente per genere: (A) al primo anno di follow-up (B) sull’intero periodo di follow-up (annualizzati).
Nell’analisi della popolazione globale e dopo stratificazione per rischio cardiovascolare, si è osservato che le donne avevano un’età mediamente superiore rispetto agli uomini, a fronte però di un profilo di comorbilità meno complesso. Anche il confronto tra sessi per classi di età ha evidenziato come, nella fascia più giovane (tra i 30 e i 65 anni), vi fosse una prevalenza del sesso maschile; al contrario, la situazione si ribaltava dopo i 65 anni. Questi dati sono verosimilmente legati alla protezione ormonale nelle donne più giovani rispetto alla progressione aterosclerotica (19). Un recente modello sperimentale ha studiato il ruolo di oltre 3.000 geni sul metabolismo lipidico, facendo emergere possibili effetti del sesso cromosomico e di quello gonadico sull’espressione di geni che controllano il metabolismo degli acidi grassi nei topi ipercolesterolemici e sulla regolazione genica in risposta al trattamento con statine (20). Solo negli animali XY, gli Autori hanno osservato una up-regulation compensatoria dei geni della via biosintetica del colesterolo durante il trattamento con statine. Questi dati sperimentali sono fortemente suggestivi e contribuiscono a confermare come il diverso profilo di rischio cardiovascolare tra i sessi si associ anche a una componente genetica e come i cromosomi sessuali possano modulare una risposta differenziale alle statine tra femmine e maschi (20).
| OR | 95% IC | p | ||
|---|---|---|---|---|
| Sesso femminile | ||||
| Sesso maschile | 1,226 | 1,215 | 1,237 | < 0,001 |
| Età < 30 anni | ||||
| Età 30-65 anni | 2,366 | 2,111 | 2,652 | < 0,001 |
| Età > 65 anni | 2,914 | 2,600 | 3,266 | < 0,001 |
| Rischio cardiovascolare alto | ||||
| Rischio cardiovascolare molto alto | 1,209 | 1,195 | 1,223 | < 0,001 |
| Altro rischio cardiovascolare | 0,625 | 0,618 | 0,633 | < 0,001 |
| CCI 0 | ||||
| CCI 1 | 0,994 | 0,983 | 1,005 | 0,289 |
| CCI ≥ 2 | 0,877 | 0,862 | 0,891 | < 0,001 |
| Statine a bassa potenza | ||||
| Statine ad alta e bassa potenza | 1,361 | 1,342 | 1,379 | < 0,001 |
| Statine + Ezetimibe | 1,363 | 1,344 | 1,382 | < 0,001 |
CCI: Charlson Comorbidity Index; IC 95%: intervallo di confidenza al 95%; OR: odds ratio.
| β | 95% IC | p | ||
|---|---|---|---|---|
| Sesso femminile | ||||
| Sesso maschile | 49,5 | 10,7 | 88,4 | 0,012 |
| Età < 30 anni | ||||
| Età 30-65 anni | 99,5 | -136,8 | 335,8 | 0,409 |
| Età > 65 anni | 609,1 | 371,0 | 847,1 | < 0,001 |
| Rischio cardiovascolare | ||||
| Rischio cardiovascolare molto alto | 398,8 | 326,2 | 471,4 | < 0,001 |
| Altro rischio cardiovascolare | -518,0 | -562,7 | -473,3 | < 0,001 |
| CCI 0 | ||||
| CCI 1 | 674,1 | 613,7 | 734,6 | < 0,001 |
| CCI ≥ 2 | 3.240,3 | 3.051,5 | 3.429,1 | < 0,001 |
| Statine a bassa potenza | ||||
| Statine ad alta e potenza | 1.281,2 | 1.168,3 | 1.394,2 | < 0,001 |
| Statine + Ezetimibe | 849,4 | 752,9 | 946,0 | < 0,001 |
| Costante | 1.185,7 | 948,1 | 1.423,2 | < 0,001 |
CCI: Charlson Comorbidity Index; IC 95%: intervallo di confidenza al 95%; OR: odds ratio.
Anche se il ricorso alla terapia ipolipemizzante rappresenta la strategia d’elezione per la riduzione della morbilità e della mortalità cardiovascolari sia negli uomini che nelle donne (21), i risultati hanno mostrato un preponderante utilizzo di statine a bassa potenza nelle donne. Ciò potrebbe riflettere un’attitudine dei clinici a preferire per le donne terapie meno “aggressive” a causa dei noti effetti delle statine ad alte dosi sul rischio di osteoporosi, soprattutto dopo la menopausa (22). Vi sono ampie evidenze in letteratura a supporto dei nostri dati che indicano come le donne siano trattate in misura inferiore con statine, soprattutto ad alta potenza e abbiano maggiori tassi di non aderenza o interruzione e dunque minori probabilità di raggiungere gli obiettivi lipidici rispetto agli uomini (23-25). È necessario sottolineare che, anche se l’analisi di persistenza non era tra gli obiettivi della presente analisi, è emerso che circa il 43% dei pazienti aveva interrotto il trattamento, vale a dire che non presentavano prescrizioni di terapia ipolipemizzante nell’ultimo trimestre di follow-up. Tuttavia, dal momento che aderenza e interruzione sono correlate tra di loro, per l’analisi di farmacoutilizzazione si è preferito sintetizzare il concetto di “continuità” del trattamento tramite l’aderenza, che dà una misura di conformità alla terapia in termini di tempi, dosi e frequenza nell’assunzione del farmaco.
Le ragioni alla base di questa maggiore resistenza da parte delle donne alla compliance verso le terapie ipolipemizzanti possono essere molteplici, intenzionali e non intenzionali. L’indagine USAGE (Understanding Statin Use in America and Gaps in Patient Education), condotta negli USA, ha documentato come una maggiore percentuale di donne avesse cambiato o interrotto una statina rispetto agli uomini a causa degli effetti collaterali, come i sintomi muscolari. Inoltre, è stata descritta una differente comunicazione tra medico e paziente sui benefici e sui rischi della terapia con statine nei due sessi: una quota maggiore di donne, comprese quelle ad alto rischio, aveva infatti riferito di non aver ricevuto informazioni esaustive sul rischio di malattie cardiache rispetto agli uomini (26). Le potenziali ragioni di tali differenze di genere nell’aderenza possono essere riconducibili a fattori quali il più elevato livello di intolleranza alle statine nelle donne e le maggiori responsabilità di cura della famiglia. Gli aspetti demografici (età più avanzata), psicologici e di intolleranza ai farmaci, emersi come preponderanti per motivare le differenze di genere nell’aderenza al trattamento con le statine, sottolineano la necessità di interventi mirati a migliorare la gestione della terapia ipocolesterolemizzante nelle donne, in particolare quando si manifesta l’incremento del rischio cardiovascolare (27).
In Italia un’analisi di real-world evidence condotta sui database amministrativi della regione Lombardia con disponibilità dei dati dal 2000 al 2012 ha riportato una PDC media a 1 anno di 0,48 per gli uomini e di 0,41 per le donne in trattamento con ipolipemizzanti (28). Tale differente aderenza si confermava anche dopo l’esclusione dei pazienti con una sola prescrizione di ipolipemizzanti (PDC media 0,64 negli uomini e 0,57 nelle donne) e anche selezionando solo chi aveva una storia di un precedente evento cardiovascolare (PDC media 0,69 negli uomini e 0,63 nelle donne). Infine, in analogia con i nostri dati, la proporzione di pazienti aderenti (PDC ≥ 80%) era significativamente più alta nel sesso maschile che in quello femminile (rispettivamente 27% e 19%) (28).
I risultati di questa analisi hanno confermato come l’aderenza terapeutica sia ancora insoddisfacente, sebbene una maggiore quota di pazienti di sesso maschile risultasse aderente, qualunque fosse il rischio cardiovascolare residuo, inteso come probabilità di andare incontro a un evento cardiovascolare maggiore nonostante il trattamento con le terapie standard raccomandate (29). Pur tenendo conto della diversa aderenza nei due sessi, tali evidenze sono in linea con precedenti dati di real-world evidence nella pratica clinica italiana, dai quali è emersa un’aderenza subottimale in tutte le classi di pazienti trattati per ipercolesterolemia non familiare, a prescindere dal target lipidico raccomandato: pazienti con pregresso evento cardiovascolare, diabete, diagnosi di dislipidemia e in prevenzione primaria (9).
Nella nostra popolazione vi era una differenza significativa tra i generi per i costi sostenuti dal SSN. La spesa sanitaria diretta per paziente è risultata più elevata nel sesso maschile, sia nell’analisi a un anno di follow-up che nell’intero periodo di osservazione. Su tali costi, la voce di spesa più impattante era quella delle ospedalizzazioni, sia da cause cardiovascolari che da altre cause, presumibilmente associate al peggiore profilo di comorbilità degli uomini, comprovato da un CCI più alto e da una maggiore proporzione di pazienti con un CCI ≥ 2. L’associazione del sesso maschile con l’aumento delle spese sanitarie è stata confermata anche dall’analisi multivariata e dalle sub-analisi sulla popolazione stratificata per rischio cardiovascolare e per età. Altro aspetto su cui porre l’attenzione è la quota di spesa annua riservata ai farmaci ipolipemizzanti che sia al primo anno di follow-up che sull’intero periodo era superiore negli uomini che nelle donne, verosimilmente anche per effetto della maggiore aderenza nel sesso maschile. Tuttavia, la comparazione temporale dei costi per le statine ha fatto emergere in entrambi i sessi una sensibile contrazione dei costi sanitari del primo anno rispetto ai costi annualizzati nell’intero follow-up (rispettivamente da una media di € 151 a una media di € 46 nel sesso maschile e da una media di € 131 a una media di € 38 in quello femminile). La ragione di tale riduzione potrebbe risiedere in una maggiore propensione a conformarsi alla terapia nel breve periodo, indipendentemente dai sessi, come confermato dall’elevata quota di pazienti (circa il 43%) che durante il periodo di osservazione hanno interrotto il trattamento ipolipemizzante.
Anche se la letteratura riporta dati comparativi tra i sessi su vari aspetti del trattamento della dislipidemia (basi ormonali, farmacocinetica, farmacodinamica, farmacoutilizzazione, aderenza) (23-27), sono invece pochissimi gli studi sul burden economico connesso all’utilizzo di statine negli uomini e nelle donne. I dati del nostro campione, rappresentativo di diverse aree geografiche sul territorio nazionale, sono comparabili con uno studio di real-world evidence di Mennini et al., condotto utilizzando i flussi informativi sanitari della regione Marche tra il 2008 e il 2014. Su una media annuale di 5.588 ricoverati con diagnosi di ipercolesterolemia nella regione durante il periodo considerato, vi era una preponderanza di uomini (58%) rispetto alle donne (42%). I costi complessivi annui per le ospedalizzazioni erano pari € 32,9 milioni, anche in questo caso sensibilmente più elevati nel sesso maschile (€ 21,2 milioni) che in quello femminile (€ 11,7 milioni) (30).
I risultati di questo studio devono essere considerati alla luce di alcune limitazioni correlabili all’utilizzo dei database amministrativi. A fronte del vantaggio di un approccio basato sull’analisi di dati provenienti della reale pratica clinica di un campione di assistiti, i database amministrativi potrebbero non comprendere tutte le informazioni, soprattutto relative alla gravità della malattia e alle comorbilità, o altri dati utili per correggere o escludere eventuali fattori confondenti. Per la stratificazione dei pazienti per profilo di rischio cardiovascolare residuo, si è fatto ricorso a dati registrati nei flussi amministrativi, vale a dire diagnosi di dimissione ospedaliera e prescrizione di farmaci, ma non è stato possibile accertare la presenza di altri fattori che intervengono nella stima del rischio, quali l’obesità, il fumo, la sedentarietà e il regime alimentare. Infine, dal momento che la caratterizzazione dei pazienti inclusi nella presente analisi ha avuto inizio prima della pubblicazione delle Linee Guida ESC/EAS del 2019 (2), sono stati applicati criteri per la definizione del rischio cardiovascolare precedenti a quelli delle Linee Guida e riferibili a quanto riportato in letteratura al momento dello studio (17). Infine, anche se nel campione di assistiti utilizzato per l’analisi il nord Italia era meno rappresentato rispetto al centro e al sud, tale differenza non dovrebbe influenzare i risultati, dato che le grandi dimensioni della popolazione dovrebbero ammortizzare le possibili difformità interregionali, in termini sia di misurazione della colesterolemia almeno una volta nella vita (secondo i dati dell’Istituto Superiore di Sanità, dal 67% della Basilicata all’89% del Molise) sia di diagnosi di ipercolesterolemia (dal 16% della Campania al 29% della Calabria) (31).
Conclusioni
La presente analisi evidenzia come la gestione terapeutica dei pazienti con dislipidemia non sia ancora ottimale, soprattutto nelle donne. La complessità clinica e la multifattorialità della malattia cardiovascolare aterosclerotica rendono necessari ulteriori studi per valutare l’impatto sul raggiungimento del target lipidico di fattori socioeconomici, geografici, ambientali e genetici in tutte le classi di rischio.
Acknowledgements
The Authors would like to thank the collaborators of the Study Group of the participating Italian bodies (Healthcare bodies group): Margherita Andretta (Azienda ULSS 8 Berica, Vicenza), Marcello Bacca (ASL Brindisi), Antonietta Barbieri (ASL Vercelli), Fausto Bartolini (USL Umbria 2, Terni), Marcello Caputo (P.O. SS. Annunziata di Chieti, ASL Lanciano Vasto Chieti, Chieti), Arturo Cavaliere (ASL Viterbo), Andrea Ciaccia (ASL Foggia), Alberto Costantini (ASL Pescara), Fulvio Ferrante (ASL Frosinone), Simona Gentile (Regione Molise Direzione Generale per la Salute, Campobasso), Stefano Grego (ASL3 Genovese, Genova), Antonella Lavalle (Regione Molise Direzione Generale per la Salute, Campobasso), Alessandro Lupi (ASL VCO, Domodossola e Verbania), Silvia Maccio (ASL3 Genovese, Genova), Daniela Mancini (ASL Brindisi), Rossella Moscogiuri (ASL Taranto), Cataldo Procacci (ASL BAT, Andria), Davide Re (ASL Teramo), Fiorenzo Santoleri (ASL Pescara).
Disclosures
Conflict of interest: The Authors declare no conflict of interest.
Financial support: This project was conducted with the impartial contribution of Organon Italy.
Bibliografia
- 1. Ference BA, Ginsberg HN, Graham I, et al. Low-density lipoproteins cause atherosclerotic cardiovascular disease. 1. Evidence from genetic, epidemiologic, and clinical studies. A consensus statement from the European Atherosclerosis Society Consensus Panel. Eur Heart J. 2017;38(32):2459-2472. CrossRef PubMed
- 2. Mach F, Baigent C, Catapano AL, et al; ESC Scientific Document Group. 2019 ESC/EAS Guidelines for the management of dyslipidaemias: lipid modification to reduce cardiovascular risk. Eur Heart J. 2020;41(1):111-188. CrossRef PubMed
- 3. Arca M, Di Fusco SA. Dislipidemia: i nuovi target e importanza delle terapie di associazione [Dyslipidemias: new therapeutic targets and relevance of combination therapies]. G Ital Cardiol (Rome). 2021 Apr;22(4 Suppl 1):5S-8S. Italian. CrossRef PubMed
- 4. Jeong HS, Hong SJ, Cho JM, et al. A Multicenter, Randomized, Double-blind, Active-controlled, Factorial Design, Phase III Clinical Trial to Evaluate the Efficacy and Safety of Combination Therapy of Pitavastatin and Ezetimibe Versus Monotherapy of Pitavastatin in Patients With Primary Hypercholesterolemia. Clin Ther. 2022;44(10):1310-1325. CrossRef PubMed
- 5. Lipinski MJ, Benedetto U, Escarcega RO, et al. The impact of proprotein convertase subtilisin-kexin type 9 serine protease inhibitors on lipid levels and outcomes in patients with primary hypercholesterolaemia: a network meta-analysis. Eur Heart J. 2016;37(6):536-545. CrossRef PubMed
- 6. Ray KK, Molemans B, Schoonen WM, et al; DA VINCI study. EU-Wide Cross-Sectional Observational Study of Lipid-Modifying Therapy Use in Secondary and Primary Care: the DA VINCI study. Eur J Prev Cardiol. 2021;28(11):1279-1289. CrossRef PubMed
- 7. Guglielmi V, Bellia A, Pecchioli S, et al. Effectiveness of adherence to lipid lowering therapy on LDL-cholesterol in patients with very high cardiovascular risk: A real-world evidence study in primary care. Atherosclerosis. 2017;263:36-41. CrossRef PubMed
- 8. Engebretsen I, Munkhaugen J, Bugge C, et al. Gaps and discontinuation of statin treatment in Norway: potential for optimizing management of lipid lowering drugs. Eur Heart J Open. 2022;2(6):oeac070. CrossRef PubMed
- 9. Perrone V, Giacomini E, Sangiorgi D, et al. Evaluation of the Therapeutic Pattern and Pharmaco-Utilization in Hypercholesterolemic Patients Treated with Statins: A Retrospective Study on Italian Real-World Data. Risk Manag Healthc Policy. 2022;15:1483-1489. CrossRef PubMed
- 10. Appelman Y, van Rijn BB, Ten Haaf ME, Boersma E, Peters SA. Sex differences in cardiovascular risk factors and disease prevention. Atherosclerosis. 2015;241(1):211-218. CrossRef PubMed
- 11. World Health Organization (WHO) Health technology assessment. Online (Accessed September 2023)
- 12. AGENAS (Agenzia nazionale per i servizi sanitari regionali). HTA Health Technology Assessment. Online (Accessed September 2023)
- 13. International Society for Pharmacoeconomics and Outcomes Research (ISPOR). Good Practices Reports & More. Online (Accessed September 2023)
- 14. European Network for Health Technology Assessment (EUnetHTA). HTA Core Model® Online (Accessed September 2023)
- 15. Institute for Quality and Efficiency in Health Care (IQWIG). General Methodsa Version 6.0. Online (Accessed September 2023)
- 16. Canadian Agency for Drugs and Technologies in Health CADTH). Guidelines for the Economic Evaluation of Health Technologies: Canada 4th Edition. Online (Accessed September 2023)
- 17. Pedan A, Varasteh L, Schneeweiss S. Analysis of factors associated with statin adherence in a hierarchical model considering physician, pharmacy, patient, and prescription characteristics. J Manag Care Pharm. 2007;13(6):487-496. CrossRef PubMed
- 18. Perrone V, Sangiorgi D, Buda S, Degli Esposti L. Residual cardiovascular risk in patients who received lipid-lowering treatment in a real-life setting: retrospective study. Clinicoecon Outcomes Res. 2016;8:649-655. CrossRef PubMed
- 19. Palmisano BT, Zhu L, Eckel RH, Stafford JM. Sex differences in lipid and lipoprotein metabolism. Mol Metab. 2018;15:45-55. CrossRef PubMed
- 20. Wiese CB, Agle ZW, Zhang P, Reue K. Chromosomal and gonadal sex drive sex differences in lipids and hepatic gene expression in response to hypercholesterolemia and statin treatment. Biol Sex Differ. 2022;13(1):63. CrossRef PubMed
- 21. Kostis WJ, Cheng JQ, Dobrzynski JM, Cabrera J, Kostis JB. Meta-analysis of statin effects in women versus men. J Am Coll Cardiol. 2012;59(6):572-582. CrossRef PubMed
- 22. Antonenko A, Leahy A, Babenko M, Lyons D. Low dose hydrophilic statins are the preferred agents for females at risk of osteoporosis. Bone Rep. 2021;16:101152. CrossRef PubMed
- 23. Virani SS, Woodard LD, Ramsey DJ, et al. Gender disparities in evidence-based statin therapy in patients with cardiovascular disease. Am J Cardiol. 2015;115(1):21-26. CrossRef PubMed
- 24. Brown CJ, Chang LS, Hosomura N, et al. Assessment of Sex Disparities in Nonacceptance of Statin Therapy and Low-Density Lipoprotein Cholesterol Levels Among Patients at High Cardiovascular Risk. JAMA Netw Open. 2023;6(2):e231047. CrossRef PubMed
- 25. Goldstein KM, Zullig LL, Bastian LA, Bosworth HB. Statin Adherence: Does Gender Matter? Curr Atheroscler Rep. 2016;18(11):63. CrossRef PubMed
- 26. Karalis DG, Wild RA, Maki KC, et al. Gender differences in side effects and attitudes regarding statin use in the Understanding Statin Use in America and Gaps in Patient Education (USAGE) study. J Clin Lipidol. 2016;10(4):833-841. CrossRef PubMed
- 27. Drakul D, Sokolović D, Radanović M, et al. Sex Differences in the Use of Cardiovascular Drugs: A Survey of Patients in a Single Center. Acta Med Acad. 2021;50(3):351-357. CrossRef PubMed
- 28. Olmastroni E, Boccalari MT, Tragni E, et al. Sex-differences in factors and outcomes associated with adherence to statin therapy in primary care: need for customisation strategies. Pharmacol Res. 2020;155:104514. CrossRef PubMed
- 29. Gomez-Delgado F, Raya-Cruz M, Katsiki N, Delgado-Lista J, Perez-Martinez P. Residual cardiovascular risk: when should we treat it? Eur J Intern Med. 2024;120:17-24. CrossRef PubMed
- 30. Mennini FS, Bini C, Marcellusi A, Sciattella P. Stima dei costi sanitari diretti per Ipercolesterolemia. Online; (Accessed September 2023)
- 31. Istituto Superiore di Sanità. EpiCentro – L’epidemiologia per la sanità pubblica: Aspetti epidemiologici – Ipercolesterolemia in Italia. Online; (Accessed February 2024)

